r011pb_calculo
Problema r011
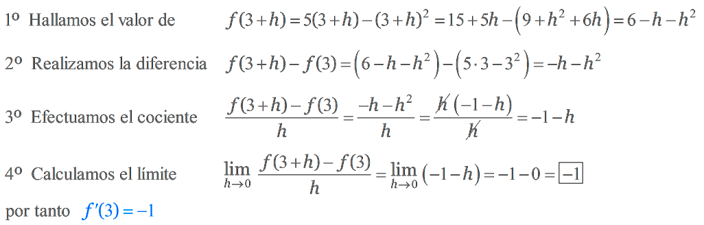
Hallar el valor de la derivada de `f(x)=5x-x^2` en el punto x=3, por la definición.
La definición de derivada en un punto implica realizar 4 pasos:

Problema r011
Hallar el valor de la derivada de `f(x)=5x-x^2` en el punto x=3, por la definición.

Hoy ........ 1763
Ayer ....... 4146
Mes ....... 49079
TOTAL ... 6560546
Hay 303 invitados y ningún miembro en línea